当前位置:首页  科学研究  学术活动
公司熊标副教授在光力压缩与量子电池领域取得系列进展
发布时间:2026-03-10 浏览次数:27

公司熊标副教授在光力压缩与量子电池领域取得系列进展

近日,公司量子光学与量子信息团队熊标副教授在利用人工智能优化量子物理过程以及利用压缩库提升量子电池性能领域取得了系列进展。相关成果相继发表在物理学领域国际知名学术期刊 Physical Review A(《物理评论A》)和 Physical Review Applied(《物理评论应用》)上。

  进展压缩态是一种在特定相位方向上具有量子涨落减少的量子态,是量子计量学和信息处理领域的重要资源。腔光力学系统是生成此类压缩态的典型平台,其中周期性控制已被证明是该系统产生强机械压缩的有效方法之一。本文提出了一种基于深度强化学习(DRL)的增强方法。通过结合深度Q网络(DQN)和近端策略优化(PPO)算法,我们优化了时间依赖的控制序列。结果表明,机器学习驱动的控制方法设计的控制场可有效抑制反旋转波项的影响,从而突破传统量子控制策略的压缩度极限,其中PPO算法实现的压缩效果优于DQN。此外,我们的DRL方案在腔体衰减和控制时间延迟等干扰下展现出良好的鲁棒性。本工作将协方差矩阵动力学映射到强化学习框架,拓展了人工智能在连续变量量子系统中的应用范围。研究成果以“Strong optomechanical squeezing generation via deep reinforcement learning”(基于深度强化学习的强光力压缩制备) 为题,发表于 Physical Review A,113, 033504 (2026)。论文第一作者为2022级硕士研究生张文,通讯作者为量子光学与量子信息团队熊标副教授其他作者包括东北大学赵成松博士、量子光学与量子信息团队刘继兵教授和单传家教授。

          

论文链接:https://journals.aps.org/pra/abstract/10.1103/h38x-bh1j

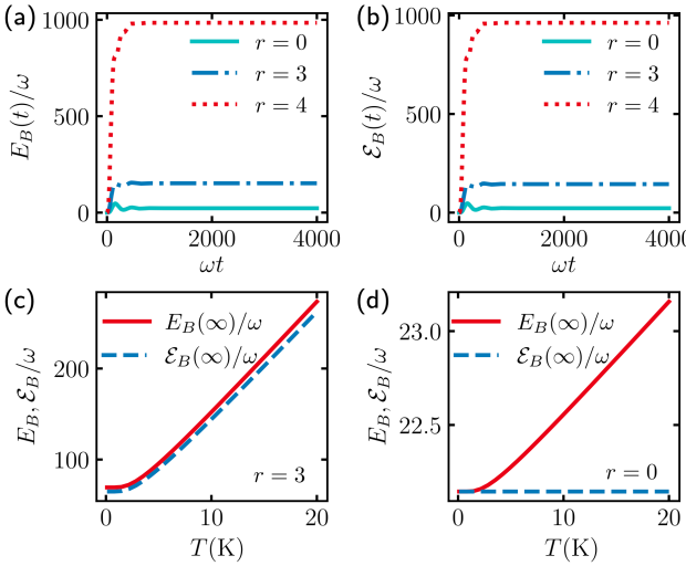
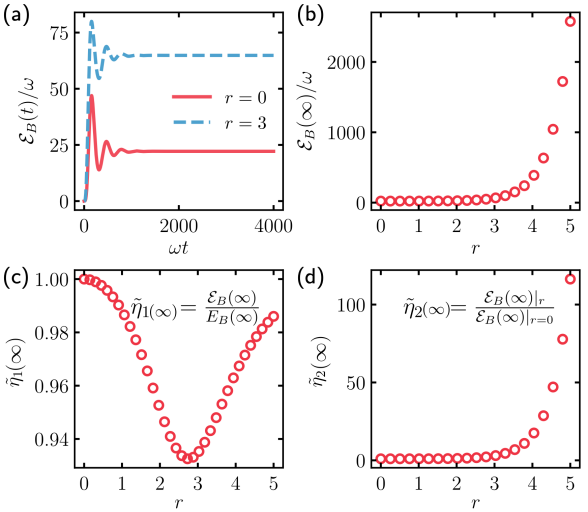
  进展量子电池作为下一代储能器件,有望利用量子效应实现远超经典电池的存储容量和充电速度。然而,能量回流与环境退相干是制约其性能的两大关键难题。团队提出并系统研究了一种通过压缩库调控大幅提升双模量子电池性能的创新方案。其核心机制是将量子电池与压缩库耦合,有效抑制能量回流,从而显著提升储能总量和最大可提取功。理论结果表明,该方案中储能随压缩参数呈指数增长,并揭示了在库调控下,哈密顿量中常被忽视的反旋转波项对性能的积极贡献。此外,我们建立了压缩库调控策略与主动哈密顿量调控之间的物理等效性。该方案还被扩展至现实条件,包括有限温度、无外部驱动等模型,验证了其鲁棒性和通用性研究工作为量子电池的性能优化提供了新的方法和研究视角,成果以 “Quantum battery via reservoir engineering”(基于库调控的量子电池) 为题,发表于 Physical Review Applied, 25, 034013 (2026)。论文第一作者为2024级硕士研究生杨,通讯作者为量子光学与量子信息团队熊标副教授其他作者包括2024级硕士研究生方思博、以及东北大学赵成松博士量子光学与量子信息团队单传家教授。


论文链接:https://journals.aps.org/prapplied/abstract/10.1103/b5lx-j66

作者简介

   熊标三亿体育副教授、硕士生导师,荣获“三亿体育app教学优秀”,“三亿体育app综合优秀”等荣誉称号。主要从事量子光学、量子信息学、量子计算、精密测量、机器学习、人工智能等方面的研究。主持1项国家自然科学基金青年项目,1项湖北省自然科学基金面上项目,1项湖北省教育厅中青年人才项目,参与2项国家自然科学基金面上项目,在Physical Review ResearchPhysical Review APhotonics Research等主流刊物上发表SCI论文30余篇,引用300余次,开发虚拟仿真教学软件2套,指导员工学科竞赛获得国家级以上奖2项、省级二等奖以上10余项,指导的研究生获得国家奖学金,培养多名研究生进入知名高校读博。

  上述研究得到了国家自然科学基金(12104141, 12447152)、湖北省自然科学基金(2024AFB830)以及湖北省教育厅科研项目(Q20242510, D20181903)等项目的资助。